Methanolation of Olefins for Low-Pressure Synthesis of Alcohols
Prozesse und Methoden (inkl. Screening)
Ref.-Nr.: 1001-6845-LC
Background
Medium and long-chain alcohols are essential in industries producing plasticizers, surfactants, and solvents. Traditional methods, such as Ziegler-Natta-based hydroformylation and hydrogenation processes, rely on high-pressure processes, necessitating costly infrastructure, significant energy consumption and often depend on non-renewable resources. The advent of “green” methanol, derived from renewable sources, provides an opportunity to innovate sustainable production methodologies. Existing processes have yet to fully leverage methanol as a syngas surrogate, leaving room for a more integrated and efficient approach. The methanolation technology addresses these gaps, offering a low-pressure, highly selective alternative with minimal environmental impact.
Technology
The methanolation process involves a three-step one-pot tandem reaction sequence (compare Fig. 1). Methanol is first dehydrogenated into syngas (CO:H2 = 1:2) by a Mn/pincer catalyst (Stahl et al., 2024). Subsequently, the syngas undergoes Rh/phosphine-catalyzed hydroformylation of olefins to aldehydes, which are then hydrogenated back to alcohols via the same Mn/pincer catalyst (Fig. 1). Operated at 130°C and pressures below 10 bar, the system achieves remarkable performance metrics: 80% yield, turnover numbers (TON) exceeding 17,000 (Stahl et al., 2024), and high linearity in alcohols (Fig. 2). The setup utilizes standard glass reactors, eliminating the need for specialized high-pressure equipment.
Figure 1: The figure illustrates the methanolation process, where 1-octene reacts with methanol to produce nonanol through a tandem catalytic sequence. Methanol is first dehydrogenated by a Mn/PNP catalyst to generate synthesis gas (CO and H₂). This reacts with 1-octene in a hydroformylation step catalyzed by Rh/PR₃, forming aldehyde intermediates (n-nonanal and iso-nonanal). Finally, the Mn/PNP catalyst hydrogenates these aldehydes to produce the corresponding alcohols, with n-nonanol as the primary product. The process highlights high efficiency and selectivity for linear alcohols (Stahl et al., 2024).
Advantages
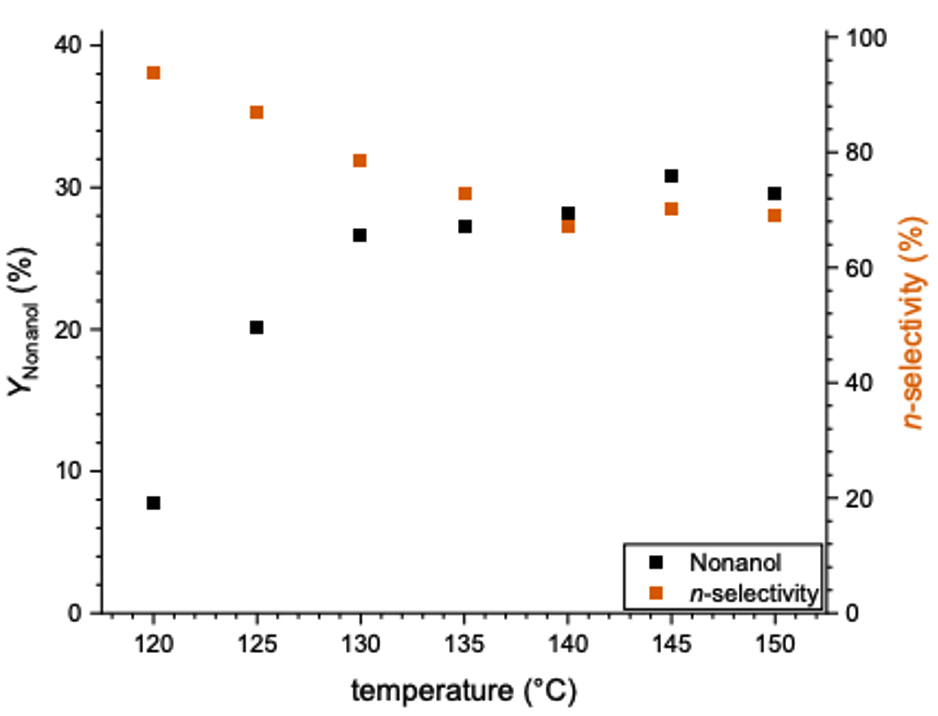
Figure 2: The graph demonstrates the impact of temperature on nonanol yield and n-selectivity during the methanolation of 1-octene, emphasizing the interplay between isomerization and hydroformylation. This optimization highlights 130°C as the ideal temperature for balancing these reaction rates, achieving maximum efficiency and product quality (Stahl et al., 2024).
- 100% atom-efficient transformation: Methanol fully integrates into the alcohol product.
- Low-pressure operation (below 10 bar): Reduces energy demands and safety risks.
- High selectivity: Linear-to-branched alcohol ratio of 93:7 (n:iso), ensuring superior product quality (Fig. 2, Stahl et al., 2024).
- Scalability: Achieves industrial-scale yields up to 80 % without specialized equipment (Fig. 2).
- Sustainability: Enables utilization of renewable "green" methanol.
Potential applications
Production of medium to long-chain alcohols for:
- Plasticizers in polymer industries.
- Surfactants for detergents and personal care.
- Solvents in chemical manufacturing.
- Bio-hybrid products, blending renewable olefins and methanol.
- Precursors for asymmetric and chiral chemical syntheses.
Patent Information
EP Application 30.7.2024
Publications
Stahl, Sebastian, et al. "Methanolation of Olefins: Low-Pressure Synthesis of Alcohols by the Formal Addition of Methanol to Olefins." Angewandte Chemie (International ed. in English): e202418984 2024.
PDF Download
- Ref.-Nr.: 1001-6845-LC (428,2 KiB)
Kontaktperson
Dr. Lars Cuypers
Senior Patent- & Lizenzmanager
Diplom-Chemiker
Telefon: 089 / 29 09 19-21
E-Mail:
cuypers@max-planck-innovation.de
