Nukleinsäure-, Protein-, Zell-bezogene Technologien
A genetically conserved and transferable defense mechanism protects plants from herbivores
Ref.-Nr.: 1602-6322-LI
Prozesse und Methoden (inkl. Screening) : Lebens-Wissenschaften (inkl. Screening)
Nukleinsäure-, Protein-, Zell-bezogene Technologien : Protein (bezogen)
Grüne Biotechnologie

Our scientists have identified a conserved defense mechanism covering a new metabolite in tobacco that protects against leafhoppers. They have discovered how to reconstitute it in vitro and engineer the compound in crop plants, demonstrating that it confers resistance to herbivores.
A novel inhibitor targeting matrix accumulation in cancer
Ref.-Nr.: 0105-5855_1-IKF
Medizin : Therapeutika
Medizin : Tiermodelle
Nukleinsäure-, Protein-, Zell-bezogene Technologien

Cancer remains a major health burden and is the second leading cause of death globally (WHO). The microenvironment of cancer cells plays an important role in disease progression. In particular, the composition of the extracellular matrix regulates angiogenesis, cell proliferation, differentiation, cell survival and apoptosis. Dysregulation and accumulation of the extracellular matrix promotes cellular transformation and metastasis leading to cancer progression. A better understanding of the role ...
Weiterlesen … A novel inhibitor targeting matrix accumulation in cancer
Application of novel channelrhodopsins: molecular engineering, site-specific opsin targeting, discovery of new variants and the advancement in optogenetic devise development
Ref.-Nr.: 0601-4259-MG
Prozesse und Methoden (inkl. Screening) : Lebens-Wissenschaften (inkl. Screening)
Medizin : Therapeutika
Forschungs-Reagenzien : Andere
Nukleinsäure-, Protein-, Zell-bezogene Technologien : Zellen (bezogen)
The development of the cation channel channelrhodopsin-2 (ChR2) from Chlamydomonas reinhardtii by Prof. Ernst Bamberg and his colleagues and its application to light-induced modulation of neurons paved the way for the field of optogenetics.
Over time the light-gated cation channel channelrhodopsin-2 (ChR2) has become an indispensable tool in neuroscience. Based on the pioneering work on ChR2 new variants have emerged, differing in their spectrum of light absorption, their kinetic ...
Bottom-up assembly of synthetic extracellular vesicles for biomedical applications
Ref.-Nr.: 0105-5888-IKF
Prozesse und Methoden (inkl. Screening) : Lebens-Wissenschaften (inkl. Screening)
Prozesse und Methoden (inkl. Screening) : Produktion
Medizin : Therapeutika
Nukleinsäure-, Protein-, Zell-bezogene Technologien : Protein (bezogen)
Natural extracellular vesicles (EVs) are lipid vesicles that carry a plethora of biologically active molecules including soluble and membrane proteins, nucleic acids and metabolites. They have recently been recognized as a promising cell-free alternative to cell transplantation or as a novel therapeutic tool in various diseases. Many in vitro and in vivo studies have shown beneficial effects of EVs from different cell types in diseases ranging from cardiovascular conditions to ...
Weiterlesen … Bottom-up assembly of synthetic extracellular vesicles for biomedical applications
Broad-spectrum vector-based antiviral and potential live vaccine
Ref.-Nr.: 1402-5459-LC
Medizin
Nukleinsäure-, Protein-, Zell-bezogene Technologien

Our scientists developed a vector-based high tolerable and efficient antiviral (plasmid-derived defective interfering particles) to support IAV pandemic preparedness. The DIP also shows a broad-spectrum antiviral activity against other respiratory viruses, e.g. RSV and SARS-CoV-2 and is Intended for intranasal administration (droplet spray) for human use. A state-of-the-art, high-yield production process in a GMP-ready controlled and sterile environment in animal cell culture.
Weiterlesen … Broad-spectrum vector-based antiviral and potential live vaccine
f-Chrimson and vf-Chrimson, two ultrafast variants of the red-light activated channelrhodopsin Chrimson
Ref.-Nr.: 0601-5208-MG
Prozesse und Methoden (inkl. Screening) : Lebens-Wissenschaften (inkl. Screening)
Medizin : Therapeutika
Forschungs-Reagenzien : Andere
Nukleinsäure-, Protein-, Zell-bezogene Technologien : Zellen (bezogen)
The development of the cation channel channelrhodopsin-2 (ChR2) from Chlamydomonas reinhardtii by Prof. Ernst Bamberg and his colleagues, and its application to light-induced modulation of neurons paved the way for the field of optogenetics.
Over time the light-gated cation channel channelrhodopsin-2 (ChR2) has become an indispensable tool in neuroscience. Based on the pioneering work on ChR2 new variants have emerged, differing in their spectrum of light absorption, their kinetic ...
FFA2 (GPR43) and FFA3 (GPR41) as novel targets for antidiabetic therapies
Ref.-Nr.: 0603-4987-IKF
Medizin : Therapeutika
Medizin : Tiermodelle
Nukleinsäure-, Protein-, Zell-bezogene Technologien : Protein (bezogen)
A double KO, a conditional KO as well as single KO mouse models for FFA2 and FFA3 (free fatty acid receptors 2 and 3), novel targets for diabetes therapies.
Weiterlesen … FFA2 (GPR43) and FFA3 (GPR41) as novel targets for antidiabetic therapies
Generation of RNA therapeutics by conjugating NAD-capped RNAs to proteins
Ref.-Nr.: 0706-6285-IKF
Nukleinsäure-, Protein-, Zell-bezogene Technologien

Conjugation of a NAD-capped nucleic acid to a protein catalysed by an ART to generate novel RNA therapeutics.
Weiterlesen … Generation of RNA therapeutics by conjugating NAD-capped RNAs to proteins
Genome-Editing-Technologies - Cas9 double mutant with improved specificity compared to wild-type
Ref.-Nr.: 0306-5787-LI
Prozesse und Methoden (inkl. Screening)
Medizin
Forschungs-Reagenzien
Nukleinsäure-, Protein-, Zell-bezogene Technologien
The RNA-programmable DNA-endonuclease Cas9 is widely used for genome engineering, where a high degree of specificity is required. Though this is a mechanism well controlled by canonical base-pairing, there is evidence that Cas9 does accept mismatches under certain circumstances.
This might be seen as a threat to precision needed in genome engineering at least in environments where such high precision is ultimately needed and acceptance of mismatches needs to be avoided, e.g.: cellular gene ...
Genome-Editing-Technologies - Single compound or compound mix dramatically improve Homology-Directed-Repair (HDR)
Ref.-Nr.: 1306-5734-LI & 1306-5288-LI
Prozesse und Methoden (inkl. Screening)
Medizin
Forschungs-Reagenzien
Nukleinsäure-, Protein-, Zell-bezogene Technologien
Precise genome editing demands for homology-directed repair (HDR) by aiming to introduce a new double stranded DNA substituting for a homologous sequence but partially defect one. This substrate dependent reaction does compete with direct non-homologous end joining (NHEJ) of the double strand breaks. NHEJ is error-prone and is therefor mainly used for gene inactivation.
The rate of NHEJ is directly limiting the rate of HDR. For this reason HDR in vitro does occur on a very low level only and ...
Glue your proteins of interest together: Fast and ultra-specific enzymatic conjugation of a protein with another, synthetic compounds or even whole cells
Ref.-Nr.: 0109-5804-LI
Prozesse und Methoden (inkl. Screening) : Lebens-Wissenschaften (inkl. Screening)
Forschungs-Reagenzien : Andere
Nukleinsäure-, Protein-, Zell-bezogene Technologien : Protein (bezogen)
Nukleinsäure-, Protein-, Zell-bezogene Technologien : Zellen (bezogen)
Connectase is an enzyme that fuses target proteins or synthetic compounds via a small recognition tag, using a different reaction mechanism compared to known protein ligases. It prevents side reactions entirely and has absolute specificity, even in highly in complex solutions with minimum concentrations of target molecules.
GOLD gRNA - allows robust genome editing regardless of spacer sequence composition by super stable hairpin technology
Ref.-Nr.: 1306-6101-LI
Prozesse und Methoden (inkl. Screening)
Medizin
Forschungs-Reagenzien
Nukleinsäure-, Protein-, Zell-bezogene Technologien
A Cas nuclease such as Cas9 can introduce a DNA double strand break in a sequence target that is complementary to a 20-nt spacer sequence of its bound guide RNA (gRNA) when a protospacer adjacent motif (PAM) is present. The gRNA can be provided as duplex of spacer containing CRISPR RNA (crRNA) and trans-activating crRNA (tracrRNA). Or as a single gRNA (sgRNA) where crRNA and tracrRNA are fused by an artificial loop.
Hence a gRNA consists of the target-specific spacer and a constant part typically ...
Homogenous, TR-FRET-based method for measurement of RNA- and DNA-polymerase activity
Ref.-Nr.: 1013-4990-IKF
Analytik
Prozesse und Methoden (inkl. Screening) : Lebens-Wissenschaften (inkl. Screening)
Nukleinsäure-, Protein-, Zell-bezogene Technologien : Protein (bezogen)
Nukleinsäure-, Protein-, Zell-bezogene Technologien : Zellen (bezogen)

An innovative high throughput screening method for measurement of RNA- and DNA-polymerase activity at room temperature, based on time-resolved FRET.
Weiterlesen … Homogenous, TR-FRET-based method for measurement of RNA- and DNA-polymerase activity
Innovative Method for Cholesterol Level Control - Glutamine Synthase regulating cellular cholesterol distribution
Ref.-Nr.: 1013-6609-IKF
Medizin
Nukleinsäure-, Protein-, Zell-bezogene Technologien : Nukleinsäure (bezogen)

Researchers at the Max Planck Institute for Biology of Ageing have identified glutamine synthetase as a novel regulatory target for cholesterol biosynthesis. This approach enables selective cholesterol reduction while preserving vital cellular metabolites, offering a promising platform for safer and broader therapeutic applications.
LITESEC - Light-controlled protein delivery into eukaryotic cells with high spatial and temporal resolution
Ref.-Nr.: 0706-5707-IKF
Prozesse und Methoden (inkl. Screening) : Lebens-Wissenschaften (inkl. Screening)
Medizin : Arzneimittel-Darreichung
Nukleinsäure-, Protein-, Zell-bezogene Technologien : Protein (bezogen)

The LITESEC-T3SS (Light-induced translocation of effectors through sequestration of endogenous components of the T3SS) system represents a novel, fast, specific, and reversible method to control protein secretion into eukaryotic cells, enabling various medicinal and biotechnological applications, such as targeted drug delivery for tumor therapy.
Method for cell-free protein synthesis assays or other fluorescent assays in the context of cell-free protein synthesis
Ref.-Nr.: 0204-5479-IKF
Prozesse und Methoden (inkl. Screening) : Lebens-Wissenschaften (inkl. Screening)
Forschungs-Reagenzien : Andere
Nukleinsäure-, Protein-, Zell-bezogene Technologien : Protein (bezogen)

An improved method to perform cell-free protein synthesis (CFPS) assays or other fluorescent assays in the context of CFPS with very low reaction mix volumes. Various additional advantages allow to significantly reduce costs and time.
Molecularly defined non-infectious synthetic virus-like particles to mimic biophysical features of natural pathogens
Ref.-Nr.: 0105-6291-IKF
Prozesse und Methoden (inkl. Screening) : Lebens-Wissenschaften (inkl. Screening)
Forschungs-Reagenzien : Andere
Nukleinsäure-, Protein-, Zell-bezogene Technologien : Protein (bezogen)

A synthetic virus-like particle, comprising a lipid bilayer, that can be adjusted precisely to mimic biophysical features of various natural pathogens. The lipid bilayer can also be equipped with relevant molecules such as the SARS-CoV-2 spike protein ectodomain.
New CRISPR Innovation: Simultaneous DNA Insertion Without Cloning
Ref.-Nr.: 0306-5660-LI
Medizin
Nukleinsäure-, Protein-, Zell-bezogene Technologien
The technology, called CRISPRpad, was recently developed in the Max Planck Unit for the Science of Pathogens under the direction of Emmanuelle Charpentier and has now been filed for a patent. CRISPRpad enables the simultaneous insertion of DNA into various organisms—from microbes to yeast and human cells—without modifying the DNA itself. This eliminates the need for time-consuming cloning processes across different species.
Weiterlesen … New CRISPR Innovation: Simultaneous DNA Insertion Without Cloning
New KDAC assay and selection system
Ref.-Nr.: 0803-5480-IKF
Analytik
Prozesse und Methoden (inkl. Screening) : Lebens-Wissenschaften (inkl. Screening)
Medizin : Diagnostika
Nukleinsäure-, Protein-, Zell-bezogene Technologien : Protein (bezogen)

We present an extremely sensitive, reliable and fast novel Lysine deacetylase (KDAC) assay, which can be performed in a continuous format. This novel KDAC assay is based on Firefly luciferase harboring an acetylation on an essential active site lysine, incorporated by genetic code expansion.
We furthermore offer a bacterial selection system that can help engineer KDACs. The selection system uses a reporter enzyme inactivated by lysine modifications at an essential active site residue, thereby ...
Novel 96-well screens for protein crystallization
Ref.-Nr.: 0601-6723-MG-0601-6724-MG
Nukleinsäure-, Protein-, Zell-bezogene Technologien : Protein (bezogen)

Crystallization is the limiting step in X-ray structure determination of biological macro-molecules. As crystallization experiments can be largely automatized, the diversity of precipitant solutions is often the determinant factor to obtain crystals of high quality.
Weiterlesen … Novel 96-well screens for protein crystallization
Novel Biomarkers for Ageing and Metabolic Health
Ref.-Nr.: 1013-5354-IKF
Analytik
Medizin : Therapeutika
Medizin : Diagnostika
Forschungs-Reagenzien : Andere
Nukleinsäure-, Protein-, Zell-bezogene Technologien : Zellen (bezogen)

Biomarkers of ageing have long been sought after to help assess the biological age and general health status of individuals. Considerable efforts have been invested to identify such biomarkers, including physiologic readouts, metabolic parameters, glycomic profiles and others. Nevertheless, markers with strong predictive power have remained elusive.
Work in model organisms has identified several conserved signaling pathways that extend life span, such as reduced insulin/IGF signaling and ...
Weiterlesen … Novel Biomarkers for Ageing and Metabolic Health
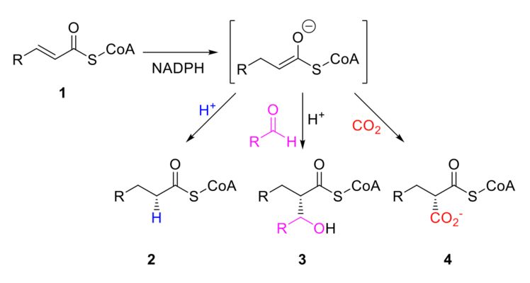
Novel carbon-carbon bond forming enzymes for carbon-neutral bioeconomy
Ref.-Nr.: 0706-6398-6642-IKF
Nukleinsäure-, Protein-, Zell-bezogene Technologien : Nukleinsäure (bezogen)

To realize a circular, carbon-neutral economy, it will become important to utilize the greenhouse gas CO2 as a sustainable carbon source. One-carbon (C1) substrates, such as methanol or formate, are attractive feedstocks for bioeconomy due to their low cost and easy availability. These substrates are typically converted into formaldehyde, serving as the entry point into metabolism. Biocatalytic carbon-carbon bond formation is one of the most important reactions for green and sustainable C1 assimilation ...
Weiterlesen … Novel carbon-carbon bond forming enzymes for carbon-neutral bioeconomy
Novel compounds for plant disease control
Ref.-Nr.: 0707-5356-MG
Nukleinsäure-, Protein-, Zell-bezogene Technologien : Protein (bezogen)
Grüne Biotechnologie
Plant pathogenic fungi, oomycetes and bacteria have highly diverse lifestyles, infection strategies and morphologies. Therefore, pesticides frequently target basic cellular processes, as these are well characterized and often very similar among plant pathogens. Many pesticides target enzymes that play a role in e.g. nucleic acid synthesis, respiration, cell division and other essential cellular processes. However, the molecular ...
Novel decapping enzyme for cofactor- and “canonically”-capped RNA species
Ref.-Nr.: 0706-6709-IKF
Nukleinsäure-, Protein-, Zell-bezogene Technologien : Protein (bezogen)
Besides its four canonical nucleotides, RNA molecules can be capped with diverse canonical (N7-methylguanosine (m7G)) and non-canonical chemical modifications (including NAD, FAD, Coenzyme A and Ap(n)A). In ligation-based methods such as 5′ RACE and RNA-seq, decapping of RNAs is useful for detection and identification of RNA containing non-canonical initiating nucleotides. Nudix hydrolases, such as Dcp2 or NudC, are key decapping enzymes that hydrolyze phosphodiester bonds within these caps. ...
Weiterlesen … Novel decapping enzyme for cofactor- and “canonically”-capped RNA species
Protein Epitope Signature Tags (PrESTs) for SILAC-based absolute protein quantification
Ref.-Nr.: 0204-4338-MG
Nukleinsäure-, Protein-, Zell-bezogene Technologien : Protein (bezogen)

Direct quantification of the absolute amount of multiple proteins in one a SILAC experiment using Protein Epitope Signature Tags (PrESTs) which consist of a short and unique region of the protein of interest as well as purification and solubility tags and are expressed recombinantly in E. coli
Small molecules as RNA-binding protein inhibitors Innovative Azetidine-Based Small Molecules
Ref.-Nr.: 0803-6519-IKF
Medizin
Forschungs-Reagenzien
Nukleinsäure-, Protein-, Zell-bezogene Technologien
RNA plays a vital role in gene expression regulation, and its dysregulation is linked to diseases such as cancer, neurodegeneration, and viral infections. Targeting RNA-binding proteins or RNAs, such as microRNAs (miRNAs) and mRNAs, represents an emerging area in drug discovery. However, traditional RNA-binding small molecules often rely on linear hydrophobic aromatic scaffolds, which limit chemical diversity and therapeutic potential. This invention introduces azetidine-based small molecules, ...
Stable, site-specific conjugation of His-tagged proteins via cobalt (III) carbonate reagents
Ref.-Nr.: 0105-5774-IKF
Analytik
Prozesse und Methoden (inkl. Screening) : Chemische
Prozesse und Methoden (inkl. Screening) : Lebens-Wissenschaften (inkl. Screening)
Forschungs-Reagenzien : Andere
Nukleinsäure-, Protein-, Zell-bezogene Technologien : Protein (bezogen)

This invention relates to means and methods for conjugating/attaching target molecules such as proteins to a label and/or carrier.
SUMOvera: A Truly Orthogonal Cleavage Module
Ref.-Nr.: 0402-5439-LI
Prozesse und Methoden (inkl. Screening) : Lebens-Wissenschaften (inkl. Screening)
Forschungs-Reagenzien : Andere
Nukleinsäure-, Protein-, Zell-bezogene Technologien : Protein (bezogen)
SUMOvera enables versatile purification strategies for broad applications in eukaryotic hosts.
Tet-inducible “gePSI” protein reversibly regulates eukaryotic ribosomal protein synthesis in a cell-type specific manner allowing to impose and release protein synthesis inhibition in a select subset of cells in mixtures
Ref.-Nr.: 0602-5504-LI
Prozesse und Methoden (inkl. Screening) : Lebens-Wissenschaften (inkl. Screening)
Forschungs-Reagenzien : Andere
Nukleinsäure-, Protein-, Zell-bezogene Technologien : Nukleinsäure (bezogen)
Proteins are the main functional units within cells. Their regulated synthesis and degradation are crucial for controlling biological processes. In all cells, protein synthesis is used to respond to extra- and/or intracellular cues to remodel cellular function. Previous studies probing the role of protein synthesis have used chemical inhibitors, often common antibiotics, which are effective but lack functional and cell-type specificity when applied to a mixture of cells.
TrueCode 100 - Barcoding Reinvented for Throughput and Trust in scRNA-seq Sample Multiplexing
Ref.-Nr.: 0301-7055-LI
Prozesse und Methoden (inkl. Screening)
Nukleinsäure-, Protein-, Zell-bezogene Technologien
Unique multifunctional oligonucleotide enabling ultrafast RNA-protein interactions in cells and other uses thereof
Ref.-Nr.: 0214-5029-MG
Prozesse und Methoden (inkl. Screening) : Lebens-Wissenschaften (inkl. Screening)
Forschungs-Reagenzien : Andere
Nukleinsäure-, Protein-, Zell-bezogene Technologien : Nukleinsäure (bezogen)
Nukleinsäure-, Protein-, Zell-bezogene Technologien : Protein (bezogen)
Unique multifunctional oligonucleotide for the ultrafast transcriptome-wide identification of RNA-binding protein (RBP) targets.
Xenorhodopsin - a new inward-directed proton pump for an alternative optogentic approach
Ref.-Nr.: 0601-5295-MG
Prozesse und Methoden (inkl. Screening) : Lebens-Wissenschaften (inkl. Screening)
Medizin : Therapeutika
Forschungs-Reagenzien : Andere
Nukleinsäure-, Protein-, Zell-bezogene Technologien : Zellen (bezogen)
The development of the cation channel channelrhodopsin-2 (ChR2) from Chlamydomonas reinhardtii by Prof. Ernst Bamberg and his colleagues, and its application to light-induced modulation of neurons paved the way for the field of optogenetics.
Over time the light-gated cation channel channelrhodopsin-2 (ChR2) has become an indispensable tool in neuroscience. Based on the pioneering work on ChR2 new variants have emerged, differing in their spectrum of light absorption, their kinetic ...